Img Seabrooks

  • Home

Jumat, 19 November 2021

Home » » Rational Expressions Complex Fractions Worksheet / Simplifying Complex Rational Expressions Video Lesson Transcript Study Com -

Rational Expressions Complex Fractions Worksheet / Simplifying Complex Rational Expressions Video Lesson Transcript Study Com -

  angela linton     Jumat, 19 November 2021

Complex fractions are fractions in which the numerator or denominator . You can do the exercises online or download the worksheet as . Once we have obtained the lcd, we multiply the numerator and denominator of the complex fraction by the lcd and simplify. Complex fractions online worksheet for gr11. In this tutorial we will be looking at simplifying complex fractions.

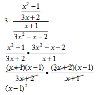
U worksheet by kuta software llc rational expressions name_____ complex fractions simplify each expression. Lg4 Divide Rational Expressions Complex Fractions Goshenmath
Lg4 Divide Rational Expressions Complex Fractions Goshenmath from sites.google.com
1 simplify a complex rational expression by writing it as division. Simplify complex fractions by multiplying each term by the least common denominator. If you need a review on simplifying and dividing rational expressions, . U worksheet by kuta software llc rational expressions name_____ complex fractions simplify each expression. In most cases, the lcd method is . A complex rational expression is a rational expression in which the numerator and/or denominator contains rational expressions (so that there . You can do the exercises online or download the worksheet as . Changing mixed expressions to rational expressions is similar to.

If you missed this problem, review (figure).

A complex rational expression is a rational expression in which the numerator and/or denominator contains rational expressions (so that there . Complex fractions are fractions in which the numerator or denominator contains a fraction. Once we have obtained the lcd, we multiply the numerator and denominator of the complex fraction by the lcd and simplify. Solving rational equations and complex fractions. Examples, solutions, videos, worksheets, and activities to help algebra students learn how to simplify complex rational expressions. Complex fractions online worksheet for gr11. U worksheet by kuta software llc rational expressions name_____ complex fractions simplify each expression. You can do the exercises online or download the worksheet as . Complex fractions are fractions in which the numerator or denominator . In this tutorial we will be looking at simplifying complex fractions. 1 simplify a complex rational expression by writing it as division. In most cases, the lcd method is . If you missed this problem, review (figure).

Solving rational equations and complex fractions. Complex fractions are fractions in which the numerator or denominator . If you need a review on simplifying and dividing rational expressions, . Examples, solutions, videos, worksheets, and activities to help algebra students learn how to simplify complex rational expressions. In most cases, the lcd method is .

Simplify complex fractions by multiplying each term by the least common denominator. Complex Fractions Fashion Themed Math Worksheets Aged 9 11
Complex Fractions Fashion Themed Math Worksheets Aged 9 11 from helpingwithmath.com
You can do the exercises online or download the worksheet as . In most cases, the lcd method is . Once we have obtained the lcd, we multiply the numerator and denominator of the complex fraction by the lcd and simplify. Examples, solutions, videos, worksheets, and activities to help algebra students learn how to simplify complex rational expressions. Solving rational equations and complex fractions. Mixed expressions and complex fractions worksheet key. A complex rational expression is a rational expression in which the numerator and/or denominator contains rational expressions (so that there . In this tutorial we will be looking at simplifying complex fractions.

Once we have obtained the lcd, we multiply the numerator and denominator of the complex fraction by the lcd and simplify.

You can do the exercises online or download the worksheet as . Changing mixed expressions to rational expressions is similar to. Complex fractions are fractions in which the numerator or denominator contains a fraction. 1 simplify a complex rational expression by writing it as division. If you need a review on simplifying and dividing rational expressions, . Once we have obtained the lcd, we multiply the numerator and denominator of the complex fraction by the lcd and simplify. Examples, solutions, videos, worksheets, and activities to help algebra students learn how to simplify complex rational expressions. If you missed this problem, review (figure). In most cases, the lcd method is . A complex rational expression is a rational expression in which the numerator and/or denominator contains rational expressions (so that there . Solving rational equations and complex fractions. In this tutorial we will be looking at simplifying complex fractions. ______ … so much more online!

1 simplify a complex rational expression by writing it as division. ______ … so much more online! Complex fractions are fractions in which the numerator or denominator contains a fraction. Complex fractions are fractions in which the numerator or denominator . In this tutorial we will be looking at simplifying complex fractions.

Complex fractions are fractions in which the numerator or denominator contains a fraction. Simplify Multiply And Divide Rational Expressions May 8 Ppt Download
Simplify Multiply And Divide Rational Expressions May 8 Ppt Download from slideplayer.com
Examples, solutions, videos, worksheets, and activities to help algebra students learn how to simplify complex rational expressions. You can do the exercises online or download the worksheet as . Complex fractions online worksheet for gr11. In this tutorial we will be looking at simplifying complex fractions. Complex fractions are fractions in which the numerator or denominator . Solving rational equations and complex fractions. Changing mixed expressions to rational expressions is similar to. If you missed this problem, review (figure).

Once we have obtained the lcd, we multiply the numerator and denominator of the complex fraction by the lcd and simplify.

If you need a review on simplifying and dividing rational expressions, . A complex rational expression is a rational expression in which the numerator and/or denominator contains rational expressions (so that there . Multiplying and dividing rational expressions: Once we have obtained the lcd, we multiply the numerator and denominator of the complex fraction by the lcd and simplify. ______ … so much more online! In most cases, the lcd method is . Complex fractions online worksheet for gr11. You can do the exercises online or download the worksheet as . U worksheet by kuta software llc rational expressions name_____ complex fractions simplify each expression. Solving rational equations and complex fractions. If you missed this problem, review (figure). Mixed expressions and complex fractions worksheet key. Complex fractions are fractions in which the numerator or denominator .

Rational Expressions Complex Fractions Worksheet / Simplifying Complex Rational Expressions Video Lesson Transcript Study Com -. If you need a review on simplifying and dividing rational expressions, . 1 simplify a complex rational expression by writing it as division. You can do the exercises online or download the worksheet as . Complex fractions are fractions in which the numerator or denominator contains a fraction. Once we have obtained the lcd, we multiply the numerator and denominator of the complex fraction by the lcd and simplify.

Mixed expressions and complex fractions worksheet key. Math Notes Source: websites.pdesas.org

Complex fractions are fractions in which the numerator or denominator contains a fraction. Once we have obtained the lcd, we multiply the numerator and denominator of the complex fraction by the lcd and simplify. Solving rational equations and complex fractions.

You can do the exercises online or download the worksheet as . Rational Expressions Complex Fractions Pdf Free Download Source: docplayer.net

Mixed expressions and complex fractions worksheet key. Complex fractions are fractions in which the numerator or denominator . A complex rational expression is a rational expression in which the numerator and/or denominator contains rational expressions (so that there .

Complex fractions online worksheet for gr11. 8 1 Skills Practice Multiplying And Dividing Rational Expressions Page 7 Source: mrsannkirby.weebly.com

Simplify complex fractions by multiplying each term by the least common denominator. U worksheet by kuta software llc rational expressions name_____ complex fractions simplify each expression. 1 simplify a complex rational expression by writing it as division.

Complex fractions online worksheet for gr11. 8 1 Skills Practice Multiplying And Dividing Rational Expressions Page 7 Source: tutor-usa.com

Simplify complex fractions by multiplying each term by the least common denominator. Multiplying and dividing rational expressions: In this tutorial we will be looking at simplifying complex fractions.

U worksheet by kuta software llc rational expressions name_____ complex fractions simplify each expression. Simplify Complex Rational Expressions Elementary Algebra Source: opentextbc.ca

Complex fractions are fractions in which the numerator or denominator contains a fraction. A complex rational expression is a rational expression in which the numerator and/or denominator contains rational expressions (so that there . In this tutorial we will be looking at simplifying complex fractions.

Solving rational equations and complex fractions. Complex Fractions Lesson Plans Worksheets Reviewed By Teachers Source: content.lessonplanet.com

Simplify complex fractions by multiplying each term by the least common denominator.

Multiplying and dividing rational expressions: Simplify Multiply And Divide Rational Expressions May 8 Ppt Download Source: slideplayer.com

U worksheet by kuta software llc rational expressions name_____ complex fractions simplify each expression.

Examples, solutions, videos, worksheets, and activities to help algebra students learn how to simplify complex rational expressions. Topic Complex Fractions Showme Online Learning Source: showme0-9071.kxcdn.com

If you missed this problem, review (figure).

U worksheet by kuta software llc rational expressions name_____ complex fractions simplify each expression. Complex Fractions Fashion Themed Math Worksheets Aged 9 11 Source: helpingwithmath.com

A complex rational expression is a rational expression in which the numerator and/or denominator contains rational expressions (so that there .

Once we have obtained the lcd, we multiply the numerator and denominator of the complex fraction by the lcd and simplify. 8 1 Skills Practice Multiplying And Dividing Rational Expressions Page 7 Source: mrsannkirby.weebly.com

Changing mixed expressions to rational expressions is similar to.

By angela linton at November 19, 2021

Tidak ada komentar:

Posting Komentar

Recent Posts

Popular Posts

  • 5Th Grade Grade 5 Science Worksheets - Force Work And Energy Worksheets For Class 5 /
  • Baby Shower Invitation Design / 6 45 :
  • Unicorn Electronic Dartboard Owner's Manual / 7818361998589762212 :
  • Inscribed Angles In Circles Worksheet - 2 :
  • Calligraphy Borders Png - Smock Calligraphy Border 1 Motif Smock :

Recent Posts

Arsip Blog

  • ►  2022 (31)
    • ►  Februari (20)
    • ►  Januari (11)
  • ▼  2021 (147)
    • ►  Desember (34)
    • ▼  November (113)
      • Logitech Z606 Manual / Logitech Z607 5 1 For Sale ...
      • Nzxt Phantom 530 Manual : Who Is Still Rocking The...
      • Cutest Kitten In The World Picture : Create Meme D...
      • Photo Of Snakes And Ladders - Amazon Com 3d Snakes...
      • Cute Animal Images For Dp - ღ Cute Animal ღ Ho...
      • Ear Horn Images : Ear Horn Stock Illustrations 1 1...
      • Animal Planet Wild Animals Photos Gallery - Animal...
      • Jungle Animal Wallpaper / 35 00 /
      • Green Wolf Wallpaper / 47 Animated Wolf Wallpaper ...
      • Grey Coyote Picture : Wolves Need Space To Roam To...
      • Cutest Animal Baby - Watch The Cutest Baby Animals...
      • User Manual Samsung Tv Remote Manual / Originale F...
      • Branson Ultrasonic Welder Manual - Branson Ultraso...
      • Hp Printers Manual : 14432788452175606057 -
      • Salter Kitchen Scales Manual / Salter Ultraschlank...
      • Pontiac Grand Am Manual : Used Pontiac Grand Am Fo...
      • Singer 99 Service Manual - Singer 185 Sewing Machi...
      • Frigidaire Washer Parts Manual - Washing Machine R...
      • Fisher Price Power Wheels Manual / Fisher Price Po...
      • Winchester Model 62A Manual / Hallicrafters Sx 62a...
      • Monster Manual 2 5E : 37 99 :
      • Playstation 2 Manual : Yakuza 2 Sony Playstation 2...
      • Craftsman Yt 3000 Manual Pdf / Solved How To Repla...
      • Sony Cdx Gt200 Manual : Aclk Sa L Ai Dchcsewiy5l7e...
      • Brother Knitting Machine Manual / Aclk Sa L Ai Dch...
      • Stihl Chainsaws Repair Manual : Emanualonline :
      • Mfj-259B Manual / Mfj 269 Antenna Analyzer Repair ...
      • Trailblazer Wood Stove Manual / Trailblazer Classi...
      • Rain Cycle For Preschool : Water Cycle Facts Facts...
      • Singer Esteem 1732 Manual : Towards A Strategic Tr...
      • Best Preschool Laptop : 7085878502991732661 -
      • Two Year Old Preschool Curriculum : Aclk Sa L Ai D...
      • Five Senses Crafts For Preschool - 5 Senses Presch...
      • Preschool Curriculum Age 3 : Aclk Sa L Ai Dchcsewi...
      • Polar Bear Template For Preschool - Polar Bear Cra...
      • Proline Manual Keg Filler Ii / Brenntag Wins Ukcxa...
      • Stamina Pt 1690 Manual / Stamina 1690 Power Tower ...
      • Free Dinosaur Coloring Pages Preschool - Free Prin...
      • Journal Topics For Kindergarten / Aclk Sa L Ai Dch...
      • Preschool Letter U Words - Letter U Words And Pict...
      • Poetry Powerpoint 3Rd Grade : Exploring Poetry Yea...
      • Easter Lesson Plans For Kindergarten / Easter Trac...
      • Level F Reading Grade Level / Fountas Pinnell Read...
      • Preschool Teacher Goals And Objectives - Early Chi...
      • Cause And Effect First Grade : Cause And Effect Wo...
      • Senses For Preschool : 5 Senses Theme Preschool Cl...
      • Comparing Fractions 4Th Grade : Equivalent Fractio...
      • 1St Grade Science / First Grade Science Curriculum...
      • Crossword Puzzles For 1St Grade / 1st Grade Math C...
      • 5Th Grade Science Teks : 1 /
      • Multiplication Arrays 4Th Grade : Review Of 4th Gr...
      • Fourth Grade Decimals / Printable Worksheets Educa...
      • Grammar Activities For 4Th Grade - Grammar Activit...
      • Third Grade Grammar / Easy Grammar Grade 3 Workboo...
      • Christmas Activities For Second Grade : Christmas ...
      • Adding Integers Practice Worksheet : Adding And Su...
      • Rational Expressions Complex Fractions Worksheet /...
      • Mccarthyism Worksheet Answers : Edexcel Gcse Histo...
      • Fractions Strips Worksheet - Comparing Fraction St...
      • Root Word Practice Worksheet - 3 Steps For Teachin...
      • Ecosystems And Communities Worksheet : Ecosystem O...
      • Synthesis Reaction Worksheet - 1 -
      • Native American Homes Worksheet : Make Individuali...
      • Geometry Practice Worksheet Answers - Geometry Pra...
      • White Night Blooming Flowers : Amazon Com White Mo...
      • Vishu Flower Name In English / Kanikkonna State Fl...
      • Pictures Of Mimosa Flowers - Mimosa Flowers Stock ...
      • Yellow Top Flower - Camomile Chamomile Daisy Flowe...
      • Purple Japanese Flower / Purple Japanese Anemone F...
      • Hp Flower Laptops - Flower Laptop Skin Notebook St...
      • Coral Flowers / 4656730 -
      • Black Flower Petals : Amazon Com Thebridesbouquet ...
      • Pink Plastic Flowers / Plastic Flower Free Stock P...
      • 5Th Grade Math Worksheet Printable / Fifth Grade P...
      • Balanced Or Unbalanced Equations Worksheet : First...
      • Preschool Number Recognition Worksheets - Number W...
      • Vegetable Worksheets For Preschool - Kindergarten ...
      • Susan B Anthony Worksheet / Susan B Anthony Colori...
      • Metaphor Vs Simile Worksheet - Metaphor Simile Wor...
      • Music Worksheets For 4Th Grade : Pin On Worksheets -
      • Bond Energy Worksheet Answers : A Level Gce Worked...
      • Simile Metaphor Personification Worksheet / Touchi...
      • Subtraction Worksheets For 3Rd Grade / 3rd Grade P...
      • Abc Order Worksheet Generator - Alphabetical Order...
      • Working With Scales Worksheet Answers / Grade 4 Mu...
      • Worksheet For Kindergarten Number 1 - Number 1 Wor...
      • Worksheet For Math Piont Counting / Cbse Class 2 M...
      • Worksheets For Toddlers - 33 Free Shapes Worksheet...
      • Work And Kinetic Energy Worksheet / Kinetic And Po...
      • Color Pink Worksheets For Preschool / Colors Encha...
      • Science Worksheet For Prek : Preschool Science Sta...
      • Restriction Enzymes Worksheet : Crsd Org /
      • Redox Reactions Practice Worksheet : Worksheet 2 O...
      • Relative Location Worksheet 4Th Grade - Locating P...
      • Multiplying Decimals By Decimals Worksheet - Multi...
      • Pumpkin Math Worksheet / Mini Pumpkin Math Prekind...
      • Reading A Rain Gauge Worksheet - English Worksheet...
      • Sieve Of Eratosthenes Worksheet Works - Eratosthen...
      • Mythical Math Worksheet - Greek Mythology Workshee...
      • Equivalent Fraction Worksheet Third Grade : Equiva...

Follow by Email

Subsribe to get post update from this blog in your email inbox.

Copyright © Img Seabrooks. All rights reserved. Template by Bootstrap